Secțiile unite ale Înaltei Curți de Casație și Justiție (ÎCCJ) au decis în ședința de joi să conteste la CCR constituționalitatea legii privind pensiile magistraților, reglementare prin care vârsta de pensionare a judecătorilor și procurorilor urcă treptat (în 10 ani) la 65 de ani, iar cuantumul pensiei acestora este redus la 70% din ultimele venituri.
Conform deciziei, nu mai puțin de opt articole din Constituție ar fi încălcate prin legea adoptată.
Secțiile unite ale Curții Supreme soluționează sesizările privind schimbarea jurisprudenței Curții și poate sesizează Curtea Constituțională pentru controlul constituționalității legilor.
Legea a fost adoptată prin asumarea răspunderii Guvernului și a generat proteste și acuze dure din partea magistraților.
Magistrații protestează – activitate limitată în instanțe și parchete
Adunările generale din instanțe și parchete au decis la sfârșitul lunii august să limiteze activitatea la cazurile urgente, până la renunțarea la aceste modificări.
Consiliul Superior al Magistraturii (CSM) a acuzat că există o campanie de dezinformare a cetățenilor și de defăimare a magistraților, care ”continuă şi este întreţinută de factorul politic”. Consiliul se referă la declarațiile recente ale premierului Ilie Bolojan referitoare la salariile şi vârsta de pensionare a magistraţilor.
În comunicat, CSM prezintă și o selecție de date, încercând să combată afirmațiile președintelui.
Ce a spus premierul Ilie Bolojan:
”Sunt de acord că judecătorii din România au salarii bune, un salariu de 4.000-5.000 de euro net este un salariu bun în orice ţară europeană, mai ales în România, că, şi cu punerea în practică a proiectului de lege care este în momentul de faţă în procedura parlamentară, vor avea nişte pensii bune raportat la pensia medie din România, chiar dacă mai mici decât cele de astăzi, care este anormal să fie egale cu ultimul salariu, şi nu facem decât prin acest pachet de măsuri să ne integrăm în procedura standard europeană, adică pensionarea la limita de vârstă normală, aşa este în toată Europa, şi o valoare de aproximativ 70%, pensie, din venitul net realizat în ultimii ani de activitate”, a răspuns şeful Guvernului.
Argumentele CSM pentru a sugera că premierul ar fi prezentat date false
”Contrar celor afirmate constant şi nereal în spaţiul public, în prima parte a anului 2025, vârsta medie de pensionare se menţine la judecători la 52 de ani, comparativ cu perioada de maximă stabilitate legislativă când, la nivelul anilor 2010-2011, vârsta medie de pensionare era de peste 58 de ani. În ceea ce priveşte vârsta medie de pensionare pentru procurori, din datele statistice deja prezentate public de Consiliu, reiese că aceasta este de aproximativ 55 de ani în intervalul de timp 2010 – 2025, pentru judecători fiind de aproximativ 56 de ani în acelaşi interval de timp. Prin urmare, informaţia reiterată constant în spaţiul public că magistraţii se pensionează la 47-48 de ani este o informaţie falsă”, susţin reprezentanţii CSM.
Celelalte date invocate de CSM:
- Venitul brut şi cel net al unui judecător la început de carieră, analiza datelor comunicate de 27 de state indică faptul că România se situează pe locul 20, cu un venit similar celui din Lituania. Poziţiile aflate în faţa României prezintă deja o diferenţă de salarizare de peste 20-30% în plus net/lună, respectiv Polonia şi Bulgaria.
- Din schema naţională de posturi, sunt alocate judecătorilor de la judecătorii aproximativ 45% dintre acestea, iar la parchetele de pe lângă judecătorii activează 49% din numărul total al procurorilor.
- ”Salariul net al unui judecător la judecătorie sau procuror la parchetul de pe lângă judecătorie se situează în intervalul 6990 lei/net pentru un stagiar, 10.486 lei/net în primii ani de carieră şi ajunge, după 20 de ani vechime în funcţie, până la suma de 16.157 lei/net la judecătorie sau la parchetul de pe lângă judecătorie. Salarizarea judecătorilor cu grad de tribunal şi a procurorilor de la parchetele de pe lângă tribunal este superioară cu 11% celei de la nivelul judecătoriilor, iar cea a judecătorilor cu grad de curte de apel sau a procurorilor de la parchetele de pe lângă curţile de apel este cu 13% superioară celei de la nivelul tribunalului”, explică reprezentanţii CSM.
- În România există în prezent peste 215.000 de pensii de serviciu, dintre care doar în jur de 5.000 sunt cele ale magistraţilor. Astfel, acestea ocupă maximum 4% din totalul pensiilor de serviciu, ”deşi sunt prezentate constant ca fiind cele care împovărează sistemul public de pensii”.
- ”În ceea ce priveşte cuantumul pensiei de serviciu, reamintim că prin Legea nr. 282/2023 s-au corectat anomaliile anterioare, astfel încât pensia de serviciu stabilită potrivit acestui act normativ nu mai depăşeşte salariul net în plată”, spune CSM.
- Vârsta de pensionare a magistraţilor în România este în prezent 60 de ani potrivit Legii nr. 282/2023, aceasta crescând etapizat. La nivelul anului 2021, vârsta de pensionare a magistraţilor era de aproximativ 54 de ani, aceasta scăzând ca urmare a iniţierii şi adoptării legislaţiei care a destabilizat statutul magistratului începând cu anul 2022.
Situația reală privind vârsta de pensionare și banii: Ce nu spune CSM
Salariilor de bază li se adaugă numeroase sporuri, printre care:
- Spor pentru risc si suprasolicitare neuropsihica: 50%
- Spor pentru activitate neintrerupta: 10%-25%
- Spor pentru conditii vatamatoare: pana la 15%
- Spor pentru confidentialitate: pana la 10%
- Spor pentru judecatori, personal de specialitate sau auxiliar detasati in penitenciare: pana la 20%
Astfel, veniturile lunare cresc mult peste sumele prezentate de CSM.
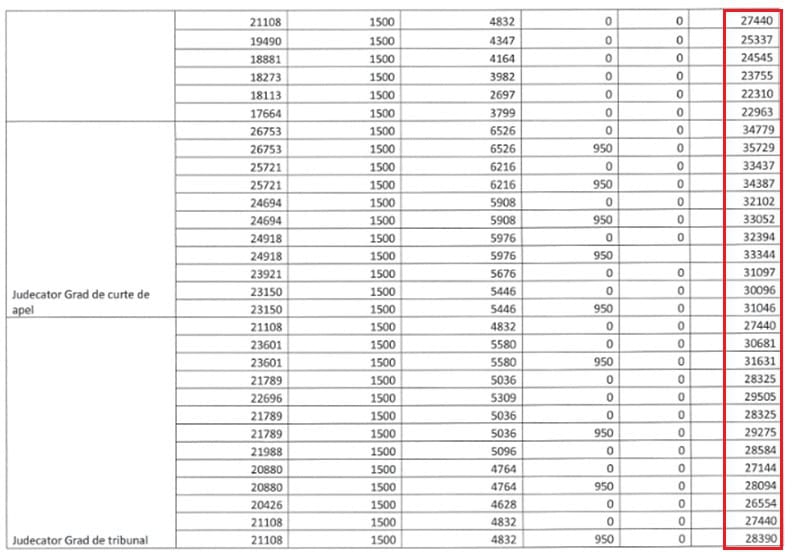
Exemplificăm cu o listă de venituri încasate de judecători de la Tribunalul Municipiului București, luna martie 2025:

De asemenea, România este singura țară din UE (cel puțin) unde magistrații se pensionează sub 50 de ani (media de vârstă de la finalul anului trecut) sau sub 60 de ani.
Situația din UE, prezentată de Factual:

În ceea ce privește pensiile speciale ale magistraților, pe care încearcă să le protejeze CSM, în privința acestora se înregistrează cele mai mari inechități:
- pensia medie din România este de 2.811 lei, în august 2025, excluzând pensia agricultorilor
- 25.356 de lei este pensia medie a magistraților, din care 22.150 reprezintă subvenția statului
2 răspunsuri
Nimic din ceea ce reprezintă normalitatea pentru societate,nu trebuie să atingă “casta specialilor”.Orice argument de bun-simț este “judecat”prin prisma intereselor lor,ca atare au ținut un conclav și au găsit 37 de argumente “absolut legale”ca NU E BINE ! Ma bucur sa vă spun ca începe să fie aproape bine în ceea ce vă privește.
Datele invocate de CSM sunt stupide si incalifiicabile!
Ce intelege o persoana obtuza care a terminat Facultatea Romano-Americana Neacredita din:
„Venitul brut şi cel net al unui judecător început de carieră”
😪
Ce vrea sa zica: sa i se dea 25.000 Euro?
Nesimtire si tupeu!
Spiritul mafiot de castă luptă împotriva moralitatii si a statului de drept!
Prima putere din statul democratic Romania lupta împotriva statului Romania?
Horrror!😡